67cm×66cm 纸本彩墨 20世纪50年代
林风眠有日本朋友,“文革”说他是日本特务。“文革”期间,在狱中听说画过一点画,看守的人要。林风眠像我的父亲一样,但“文革”中说我不写林风眠的大字报,无奈,我写了二百字的大字报交上去,都是抄的别人说他的话。可能林风眠看了,对我有些误会。
我本想给贺天健做学生,贺对我不感兴趣,问我多大,我说三十多岁,贺说太晚了。林风眠说不要你是好事情,跟他学就苦了。
20世纪60年代初,我办过一个小画展,林风眠参加我的画展座谈会。他说:“我的父亲是打石头的,我的画像打石头那样打出来的。学一点民间艺术是好的,林曦明有剪纸的东西。”
美协举办草图观摩会,林风眠喜欢我的剪纸草稿,并说:“以后画国画就这样画。”我胆子小,没敢那样画。后来他说我:“你的剪纸与国画两码事。”我搞套色剪纸,他说不好:“你的剪纸比版画好得多。”
五、林风眠珠玉之言
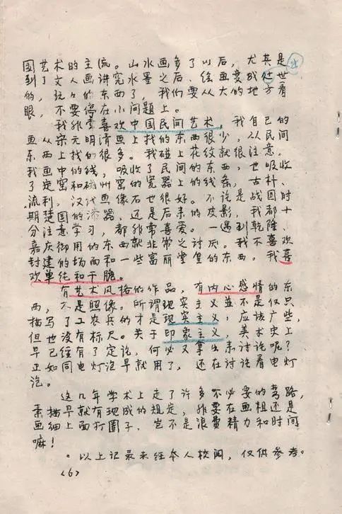
为了《回望丹青》这个选题,我几乎翻遍了几十年来积累的所有资料,不无惊奇地发现了许多的“宝贝”。其中,李树声先生(1933—2022,笔名李树。河北涿州人。1956年毕业于中央美术学院,后留校任教。生前为该校教授。为近现代美术史专家)1957年访问林风眠的记录稿《新美术运动的开拓者林风眠》格外珍贵(图12),据我所知是林风眠先生唯一的自述资料,堪称珠玉。该文本于1989年10月油印,在同年11月2日举办的林风眠艺术研讨会上首次发表,引起美术界关注。予甚看重此文档,特将其原稿捡出,摘其精彩段落,重新发表,以方便后学研究参考。选文如下:


图12《新美术运动的开拓者林风眠》记录手稿选
我办学校主张多开展览会,让艺术接近大众,面向大众,并主张要整理中国传统艺术。艺专曾举行过一次“艺术大会”,艺术大会是艺术大众化的具体表现。
艺术大众化的主张是与鲁迅先生的《语丝》相接近的,并和孙伏园所办的报纸在一起。我曾为《世界日报》编过画报。一向主张艺术大众化,重视民间艺术的还有刘天华,刘半农也是接近《语丝》派的。我的作品《北京街头》是当时的代表作,我已经走向街头描绘劳动人民。与艺术大众化相对立的是现代评论派,他们是反对艺术大众化的。现代评论派也就是章士钊的一派。
1928年开始在杭州办学校,是在一个破庙里面,尼姑庵的旁边,十分艰苦。在这段历史时期中,我还创作了反映现实的巨幅作品。较早的一件是《人道》(图13)。这幅画的创作动机是因为从北京跑到南京老是听到和看到杀人的消息。作为二十六七岁的青年,当时的思想主要是“中国应该怎样办?”是受《新青年》和《向导》等的影响。

图13 林风眠 人道 油画 1927年